• Предмет: Математика
  • Автор: sushkovova2341
  • Вопрос задан 1 год назад

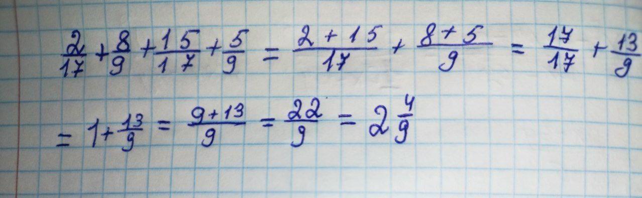
2/17+8/9+15/17+5/9 помогите пожалуйста

Ответы

Ответ дал: nastya102400
0

Ответ:можна найкращу відповідь

Пошаговое объяснение:

Приложения:
Ответ дал: savica505
0

Ответ:

22/9: 2 4/9

Пошаговое объяснение:

2/17 + 8/9 + 15/17 + 5/9 = 2+15/17 + 8+5/9 = 17/17 + 13/9 = 9+13/9 = 22/9 = 2 4/9

Вас заинтересует