Ответы
Ответ дал:
1
Чем могу тем и помогу.
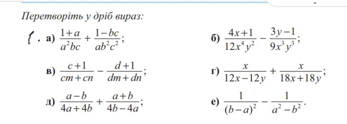
Решено а) в) д) б).
Долго писала,ответ на фото.
Решено а) в) д) б).
Долго писала,ответ на фото.
Приложения:

borveta19:
Господи спасибо огромное!
Вас заинтересует
1 год назад
1 год назад
2 года назад
2 года назад
8 лет назад