• Предмет: Алгебра
  • Автор: nurickkk232323
  • Вопрос задан 1 год назад

решите пж ……………….!!!!!!!!!!

Приложения:

Ответы

Ответ дал: NNNLLL54
0

Ответ:

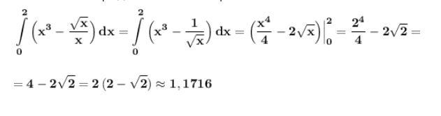
Вычислить определённый интеграл .

\bf \displaystyle \int\limits_0^2\Big(x^3-\frac{\sqrt{x}}{x}\Big)\, dx=\int\limits_0^2\Big(x^3-\frac{1}{\sqrt{x}}\Big)\, dx=\Big(\frac{x^4}{4}-2\sqrt{x} \Big)\Big|_0^2=\frac{2^4}{4}-2\sqrt2=\\\\\\=4-2\sqrt2=2\, (2-\sqrt2)\approx 1,1716

Приложения:
Вас заинтересует