• Предмет: Алгебра
  • Автор: vasilisaromanova67
  • Вопрос задан 1 год назад

даю 40 баллов пожалуйста спасите не могу решить​

Приложения:

Ответы

Ответ дал: rahlenko007
1

Ответ:

Объяснение:

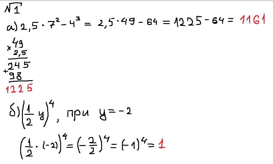
№1

на фото

№2

a)  p^3*p^8 = p^{3+8}=p^{11}

b)  q^7: q^2=q^{7-2}=q^5

c)  (bd)^8=b^8d^8

d)  (a^3)^4=a^{3*4}=a^{12}

№3

a)  b^6*b^{13}:b=b^{6+13}:b=b^{19}:b=b^{19-1}=b^{18}

b)  c^{10}:(c*c^5)=c^{10}:c^{1+5}=c^{10}:c^6=c^{10-6}=c^4

c)  ((y^3)^3)^6=(y^3)^{3*6}=(y^3)^{18}=y^{3*18}=y^{54}

d)  (-x^4)^5*(-x^3)^4:(x^2)^3=-x^{4*5}*x^{3*4}:x^{2*3}=-x^{20}*x^{12}:x^{6}=-x^{20+12}:x^{6}=\\\\

    =-x^{32}:x^{6}=-x^{32-6}=-x^{26}

№4

a)  \frac{8^{15}*8^3}{8^{14}*8^4} =\frac{8^{15+3}}{8^{14+4}}=\frac{8^{18}}{8^{18}} =1

b)  \frac{3^6*27^4}{81^4} =\frac{3^6*(3^3)^4}{(3^4)^4}=\frac{3^6*3^{3*4}}{3^{4*4}} =\frac{3^6*3^{12}}{3^{16}}=\frac{3^{6+12}}{3^{16}}=\frac{3^{18}}{3^{16}}=3^{18-16}=3^2=9

c)  \frac{200^4}{5^3*2^4} =\frac{(40*5)^4}{5^3*2^4} =\frac{40^4*5^4}{5^3*2^4}=\frac{40^4*5}{2^4} =\frac{(20*2)^4*5}{2^4} =\frac{20^4*2^4*5}{2^4}=\frac{20^4*5}{1} =\\

   =20^4*5=160000*5=800000

Приложения:
Вас заинтересует