• Предмет: Алгебра
  • Автор: Evgen4ik
  • Вопрос задан 11 лет назад

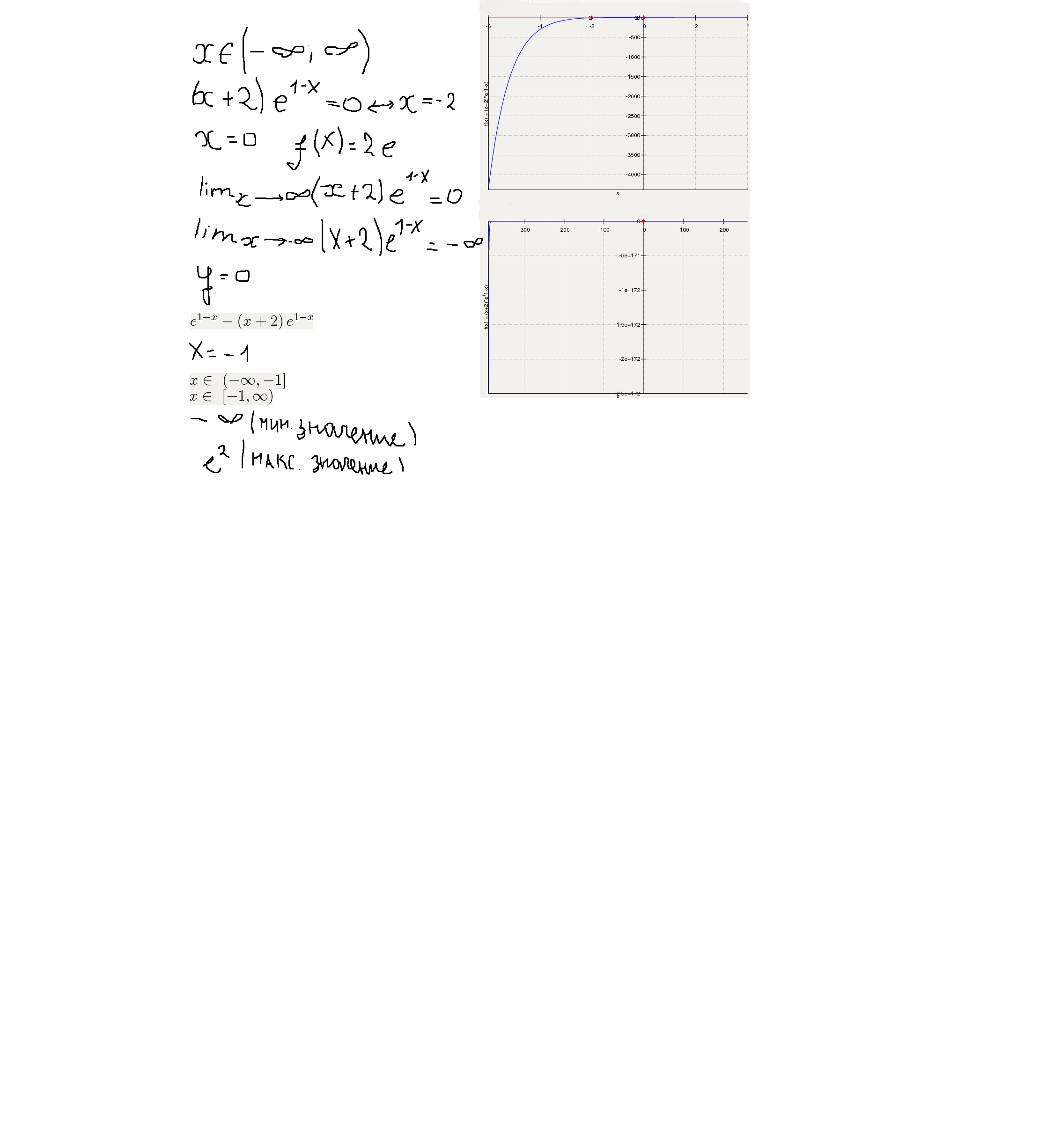
y=(x+2)e^(1-X) НУЖЕН ГРАФИК ФУНКЦИИ, И ИССЛЕДОВАТЬ ФУНКЦИЮ

Ответы

Ответ дал: Maxonчик
0

Уравнение решённое во вложении!советую скачать!!

Приложения:
Вас заинтересует