• Предмет: Алгебра
  • Автор: kirillokgo
  • Вопрос задан 2 года назад

Пожалуйста помогите
1,2,3 часть задания в профиле
за каждое уравнение 9 балов

Приложения:

Ответы

Ответ дал: merlinbetaexe
1

Ответ:

В основном я не заметил, я 1 и 2 слил вместе

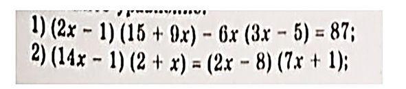
1. (2x - 1)(15 + 0x) - 6x(3x - 5) = 87

Начнем с упрощения выражений:

(2x - 1)(15) - 6x(3x - 5) = 87

Распределим значения в скобках:

30x - 15 - 18x^2 + 30x = 87

Сгруппируем подобные члены слева от знака равенства:

30x + 30x - 15 - 18x^2 = 87

Теперь переместим все члены на одну сторону уравнения и приравняем к нулю:

60x - 18x^2 - 15 - 87 = 0

2. (14x - 1)(2 + x) = (2x - 8)(7x + 1)

Раскроем оба уравнения:

28x^2 + 14x - 2x - 1 = 14x^2 - 56x + 2x - 8

Теперь сгруппируем подобные члены:

28x^2 + 12x - 1 = 14x^2 - 54x - 8

Переместим все члены на одну сторону уравнения:

28x^2 - 14x^2 + 12x + 54x - 1 + 8 = 0

Сгруппируем подобные члены:

14x^2 + 66x + 7 = 0

Вас заинтересует