Ответы
Ответ дал:
1
Ответ:
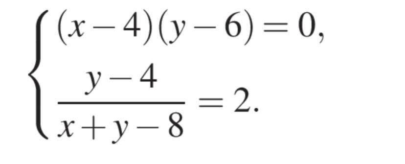
(x,y)=(3,6)
Объяснение:
Приложения:


Вас заинтересует
1 год назад
1 год назад
1 год назад
1 год назад
2 года назад
8 лет назад
8 лет назад