• Предмет: Алгебра
  • Автор: Аноним
  • Вопрос задан 2 года назад

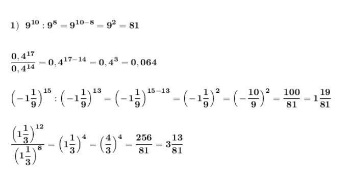
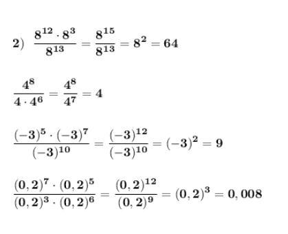
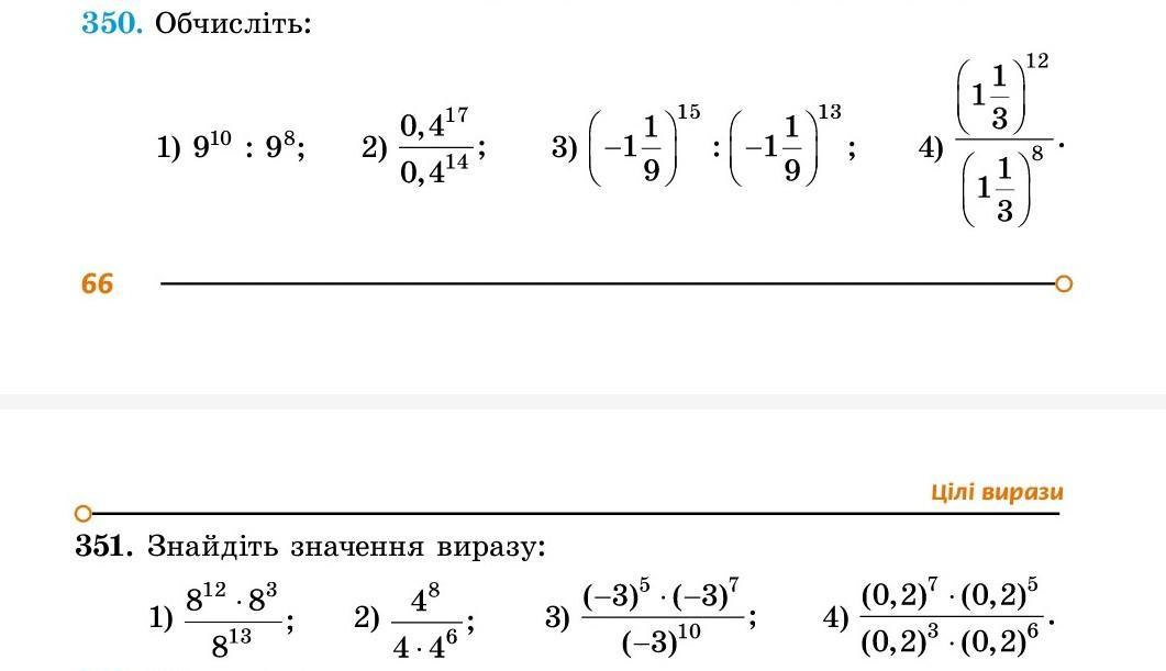
зробити ці дві вправи​

Приложения:

Аноним: скину розв‘язок в інст @mathematic_89

Ответы

Ответ дал: NNNLLL54
0

Ответ...............................................................................................................

Приложения:
Вас заинтересует