3. Кто правильно решил пример? (9a²b³ - 6а³b²):(-3ab) = 9a²b³x (1/-3ab)-6а³b² =-3ab²- 6а³b²
(9a²b³ – 6а³b²):(-3ab)
Приложения:
Ответы
Ответ дал:
2
Ответ:
Оба решили неправильно
Объяснение:
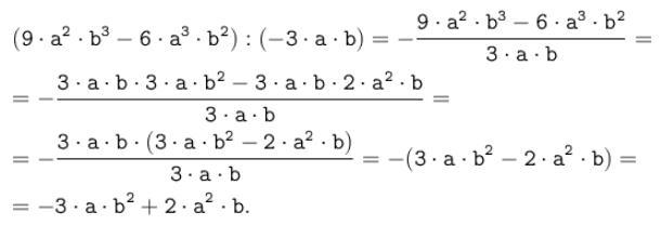
Решим пример и сравним ответ (см. рисунок).
Получается, оба решили неправильно!
#SPJ1
Приложения:
Вас заинтересует
2 года назад
2 года назад
2 года назад
2 года назад
3 года назад
3 года назад
8 лет назад
8 лет назад