• Предмет: Математика
  • Автор: majvarvara
  • Вопрос задан 2 года назад

Допоможіть будь ласка,даю 50 балів

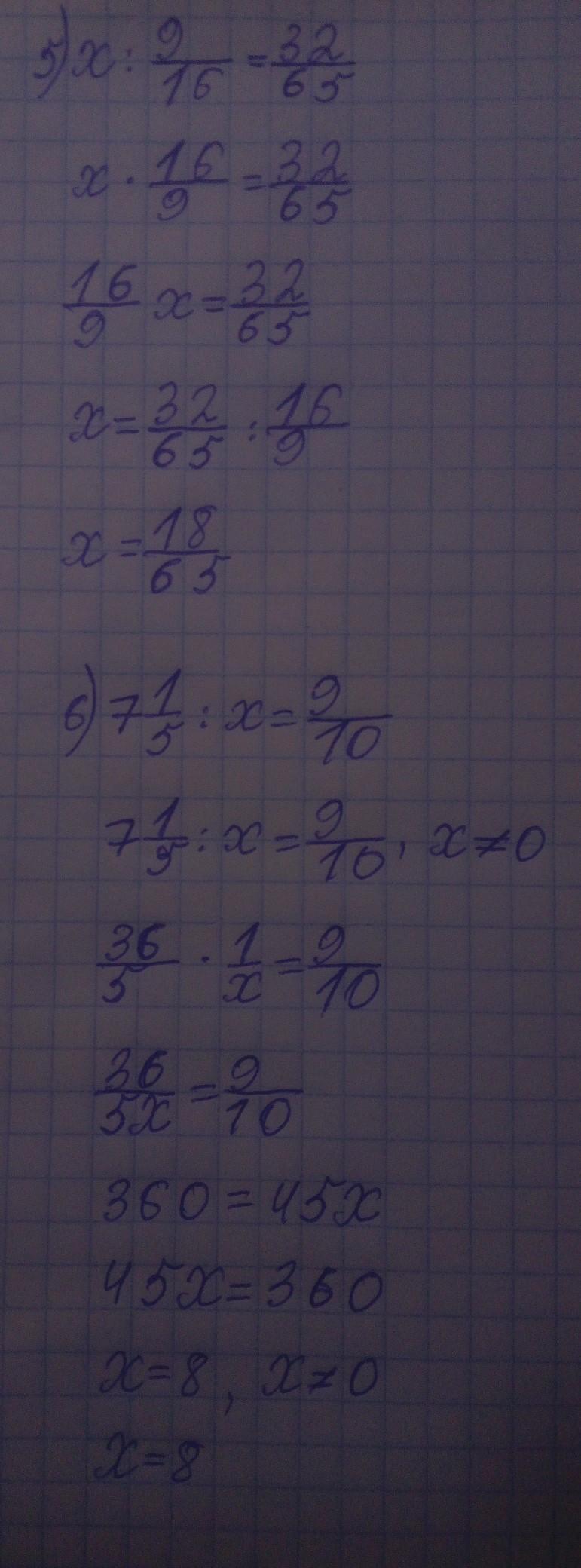
Приложения:

Ответы

Ответ дал: tetamotatetyamotya
0

Ответ:

..........

Пошаговое объяснение:

................

Приложения:

gospodinNET: https://znanija.com/task/53907210
gospodinNET: допоможыть будь ласка, бо сумнываюся в правильносты
Ответ дал: Katja5689
2

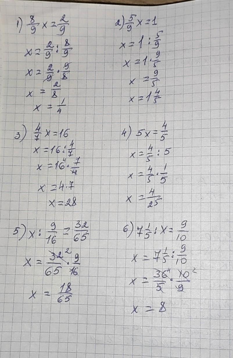
Відповідь: на фото 1, 2, 3.

Приложения:
Вас заинтересует