• Предмет: Алгебра
  • Автор: irunka0721
  • Вопрос задан 1 год назад

Срочно!!!!

Фото в низу

Приложения:

Ответы

Ответ дал: Alnadya
1

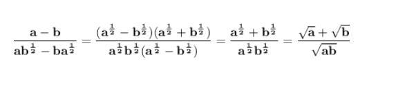
Ответ:  №3 .

Сократить дробь . Применяем формулу разности квадратов .

\bf \dfrac{a-b}{ab^{\frac{1}{2}}-ba^{\frac{1}{2}}}=\dfrac{(a^{\frac{1}{2}}-b^{\frac{1}{2}})(a^{\frac{1}{2}}+b^{\frac{1}{2}})}{a^{\frac{1}{2}}b^{\frac{1}{2}}(a^{\frac{1}{2}}-b^{\frac{1}{2}})}=\dfrac{a^{\frac{1}{2}}+b^{\frac{1}{2}}}{a^{\frac{1}{2}}b^{\frac{1}{2}}}=\dfrac{\sqrt{a}+\sqrt{b}}{\sqrt{ab}}

Приложения:
Вас заинтересует