• Предмет: Алгебра
  • Автор: Аноним
  • Вопрос задан 1 год назад

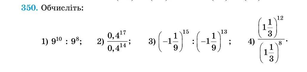
зробити розписати та знайти рішення​

Приложения:

Ответы

Ответ дал: NNNLLL54
0

Ответ:

Воспользуемся свойствами степеней .

Приложения:
Вас заинтересует