• Предмет: Алгебра
  • Автор: Аноним
  • Вопрос задан 2 года назад

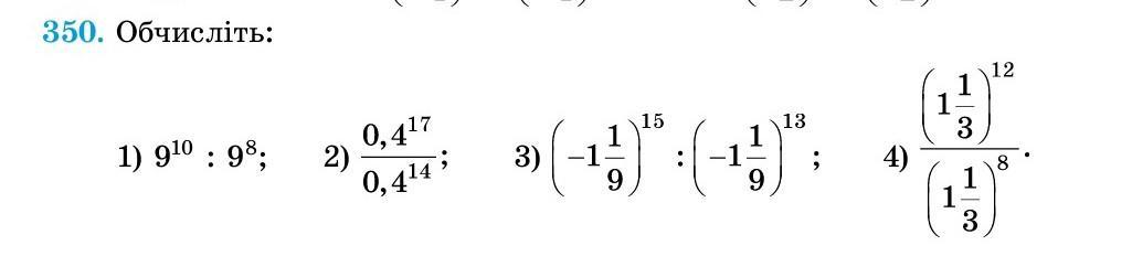
зробити розписати та знайти рішення​

Приложения:

Ответы

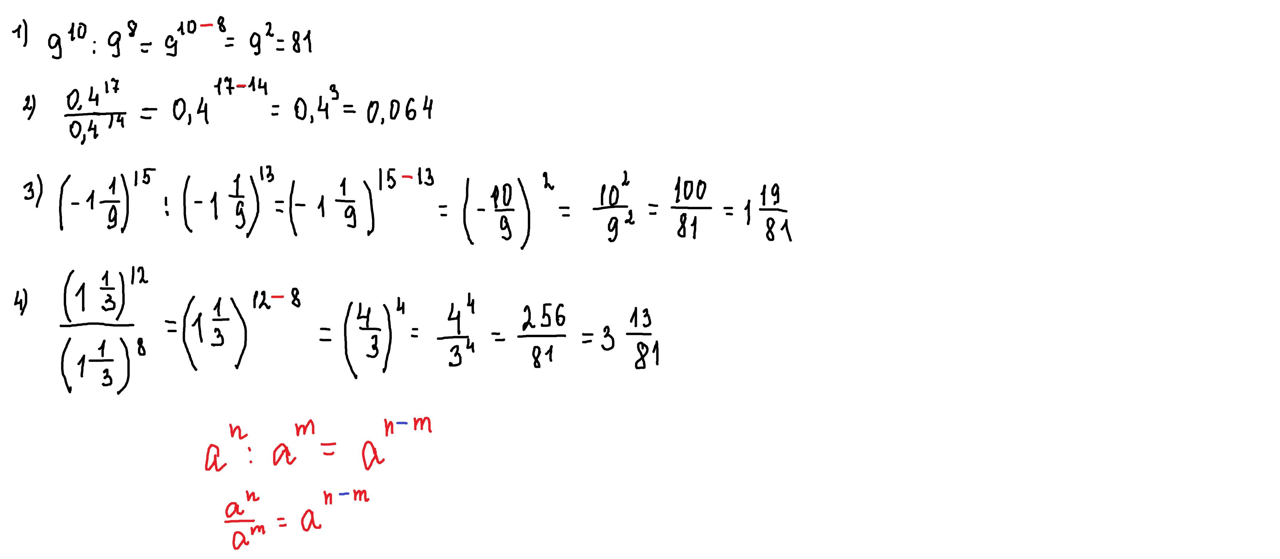
Ответ дал: parus77
1

Ответ:

Объяснение:

при делении степеней с одинаковым основанием показатели степени вычитаются

решение внизу

Приложения:
Ответ дал: dashamatukhno
1

Відповідь:

Пояснення:

Приложения:
Вас заинтересует