• Предмет: Алгебра
  • Автор: kikamember
  • Вопрос задан 2 года назад

Завдання на фото
даю 90 балів

Приложения:

Ответы

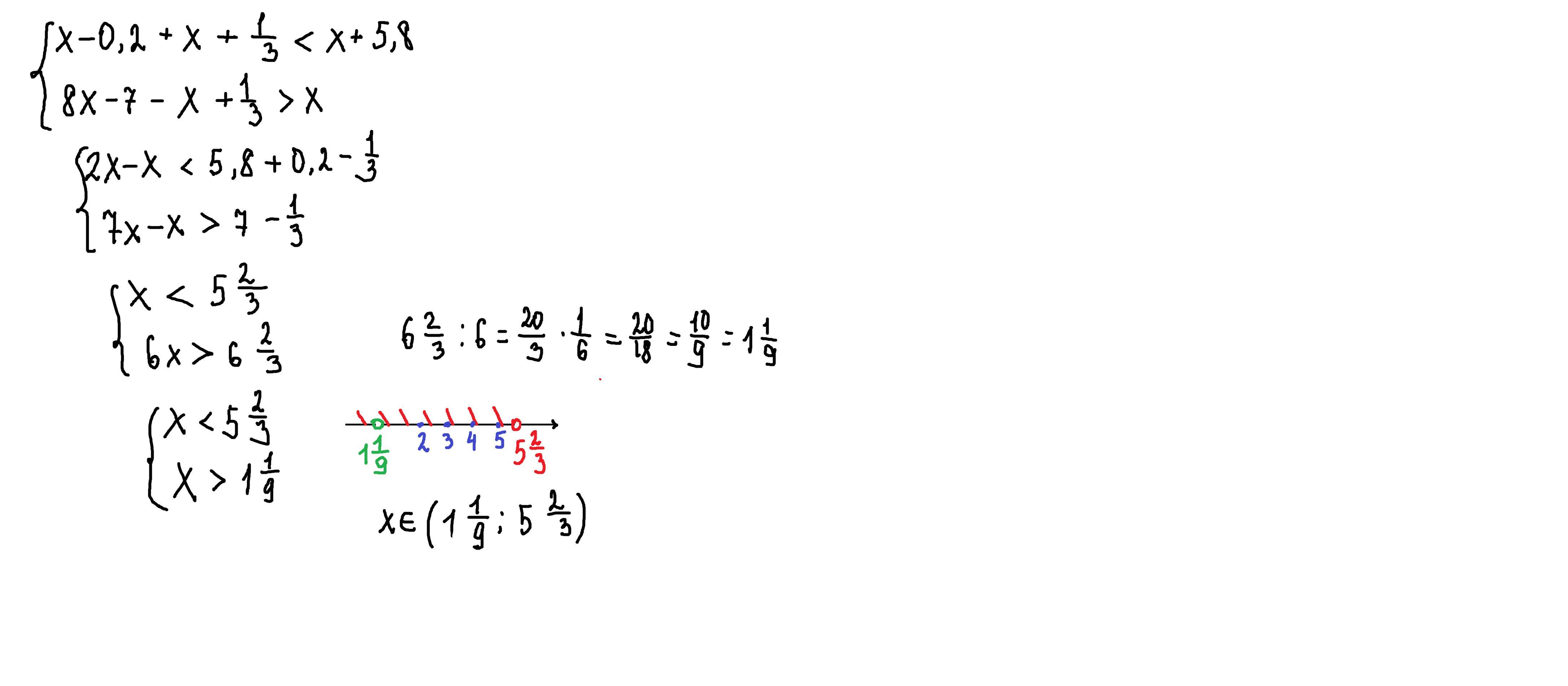
Ответ дал: parus77
0

Ответ:

целые решения 2;3;4;5

Объяснение:

раскрываем скобки и упрощаем

Приложения:
Вас заинтересует