• Предмет: Алгебра
  • Автор: maksofficial93
  • Вопрос задан 2 года назад

СРОЧНО ДАМ 30 БАЛОВ.

Приложения:

Ответы

Ответ дал: kartopelka579
0

Объяснение:

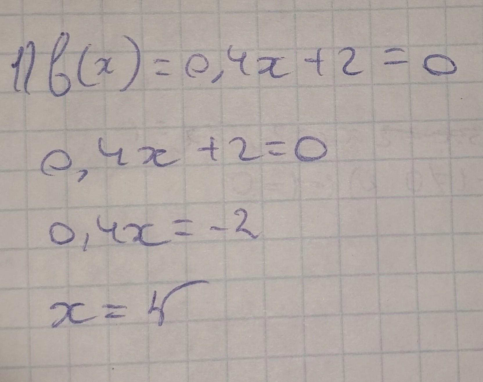
Аби знайти нулі функції достатньо лише вираз прирівняти до нуля: [ ] =0, далі користуємося знаннями за 7-й, 8-й класи: дискримінант, теорема Вієта або розкладання многочленів на множники. Успіхів у навчанні

P. S. Точно, забула: для дробових виразів користуємося також знаннями з теми "Рац. вирази".

Приложения:
Вас заинтересует