• Предмет: Алгебра
  • Автор: liknastya7
  • Вопрос задан 2 года назад

Допоможіть!! Срочно!!
Дам 100 балів

Приложения:

Ответы

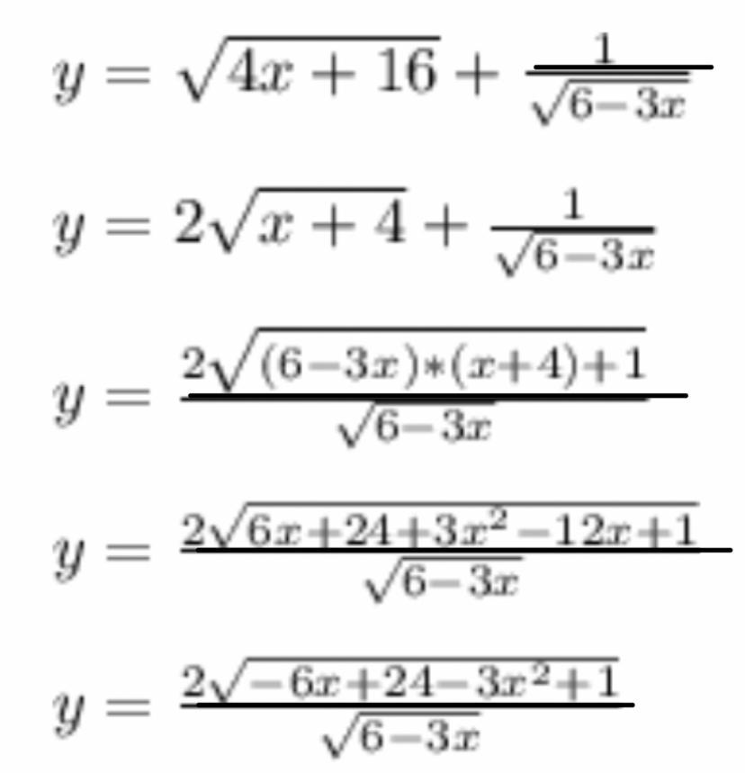
Ответ дал: Queen779
3

Ответ на фотографии!

Приложения:

liknastya7: Дякую!
Сорин: А ловко ты это придумал
Вас заинтересует