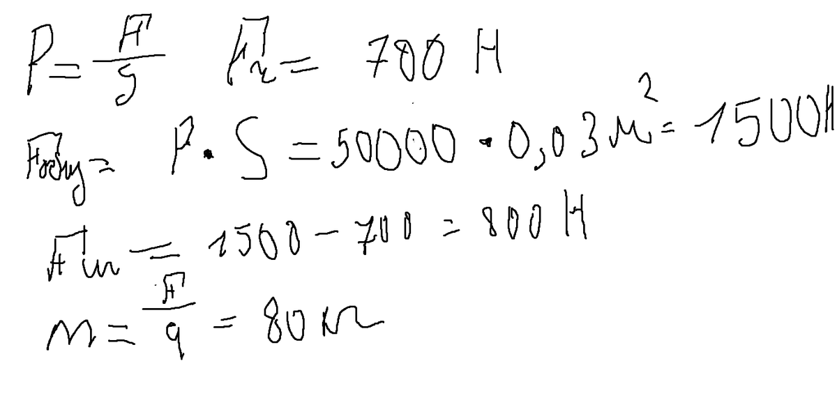
спортсмен массой m=70 кг, удерживаю поднятую штангу оказывает на пол давление p=5000Па. опредлелите массу поднятой штанги если площадь соприкосновени каждой ноги штангста с полом S = 150 см2(квадратных)
срочно!!!
Ответы
Ответ дал:
0
Ну вот так вот!
.......
.......
Приложения:

Вас заинтересует
2 года назад
2 года назад
8 лет назад
8 лет назад
10 лет назад
10 лет назад
10 лет назад
10 лет назад