помогите пожалуйста решить полностью примеры по этапно )) даю макс баллов
Приложения:

Аноним:
скину розв‘язок в інст @mathematic_89
Ответы
Ответ дал:
2
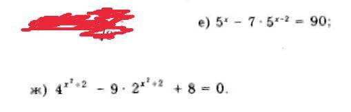
Ответ:
Показательные уравнения . Cтараемся свести равенства к равенству двух показательных функций с одинаковым основанием . Тогда можно приравнять показатели степеней .
Замена :
Применили теорему Виета .
Обратная замена :
Приложения:


Вас заинтересует
1 год назад
1 год назад
2 года назад
2 года назад
8 лет назад