Ляпіс використовують у медицині для припікання й стерилізації ран, видалення дрібних бородавок.
Його лікувальна дія полягає в пригніченні життєдіяльності мікроорганізмів; у невеликих
концентраціях він діє як протизапальний і в'язкий засіб, а концентрованими розчинами припікають
живі тканини.
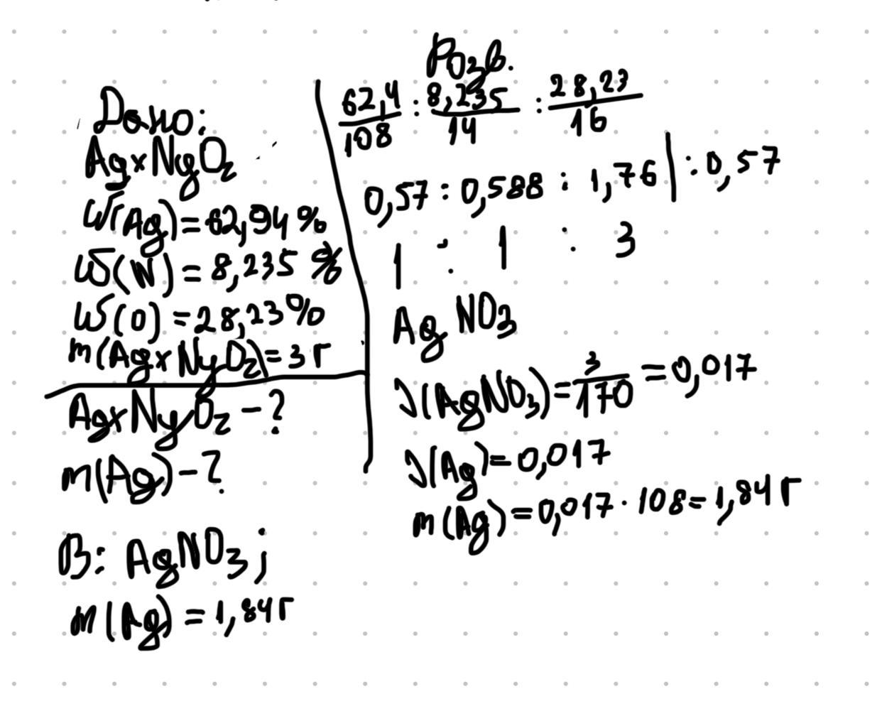
→ Виведіть формулу ляпісу, якщо масова частка Арґентуму в ньому становить 62,94%, Нітрогену -
8,235% й Оксигену - 28,23%.
5 Обчисліть масу срібла в 3 г ляпісу.
УМОЛЯЮ ДОПОМОЖІТЬ ДАЮ 50 БАЛІВ
Ответы
Ответ дал:
1
Відповідь:
див. фото
Пояснення:
Приложения:

Ответ дал:
1
Формула ляпісу може бути визначена, враховуючи масову частку кожного елементу.
1. Масова частка срібла (Ag) в ляпісі дорівнює 62,94%, що означає, що в 100 г ляпісу є 62,94 г срібла.
2. Масова частка нітрогену (N) в ляпісі дорівнює 8,235%, що означає, що в 100 г ляпісу є 8,235 г нітрогену.
3. Масова частка кисню (O) в ляпісі дорівнює 28,23%, що означає, що в 100 г ляпісу є 28,23 г кисню.
Тепер можемо обчислити масу срібла в 3 г ляпісу:
Масова частка срібла в ляпісі = 62,94 г / 100 г = 0,6294
Маса ляпісу = 3 г
Маса срібла в 3 г ляпісу = 0,6294 * 3 г = 1,8882 г
Отже, маса срібла в 3 г ляпісу дорівнює приблизно 1,8882 г.
1. Масова частка срібла (Ag) в ляпісі дорівнює 62,94%, що означає, що в 100 г ляпісу є 62,94 г срібла.
2. Масова частка нітрогену (N) в ляпісі дорівнює 8,235%, що означає, що в 100 г ляпісу є 8,235 г нітрогену.
3. Масова частка кисню (O) в ляпісі дорівнює 28,23%, що означає, що в 100 г ляпісу є 28,23 г кисню.
Тепер можемо обчислити масу срібла в 3 г ляпісу:
Масова частка срібла в ляпісі = 62,94 г / 100 г = 0,6294
Маса ляпісу = 3 г
Маса срібла в 3 г ляпісу = 0,6294 * 3 г = 1,8882 г
Отже, маса срібла в 3 г ляпісу дорівнює приблизно 1,8882 г.
Вас заинтересует
1 год назад
1 год назад
1 год назад
1 год назад
2 года назад
8 лет назад
8 лет назад