• Предмет: Алгебра
  • Автор: alinamenchuk
  • Вопрос задан 2 года назад

Розв'яжіть нерівність (з графіком) ​

Приложения:

Ответы

Ответ дал: NNNLLL54
2

Ответ:

Решаем неравенства методом интервалов .

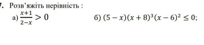
\bf a)\ \ \dfrac{x+1}{2-x} > 0\ \ \ \Rightarrow \ \ \ \dfrac{x+1}{x-2} < 0  

Нули числителя и знаменателя :   \bf x_1=-1\ ,\ x_2=2  

Знаки функции на интервалах :   \bf +++(-1)---(2)+++  

Ответ:  \bf x\in (-1\ ;\ 2\ )  .

\bf b)\ \ (5-x)(x+8)^3(x-6)^2\leq 0\ \ \ \Rightarrow \ \ \ (x-5)(x+8)^3(x-6)^2\geq 0  

Нули функции :   \bf x_1=-8\ ,\ x_2=5\ ,\ x_3=6  

Знаки функции  :    \bf +++[-8\, ]---[\, 5\, ]+++[\, 6\, ]+++      

Ответ:   \bf x\in (-\infty ;-8\ ]\cup [\ 5\ ;+\infty \, )  .        

Приложения:
Вас заинтересует