• Предмет: Алгебра
  • Автор: amihajlev6
  • Вопрос задан 1 год назад

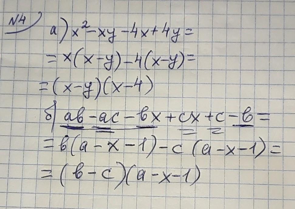
Помогите пожалуйста ​

Приложения:

Ответы

Ответ дал: tetamotatetyamotya
1

Ответ:

...........

Объяснение:

..............

Приложения:
Вас заинтересует