• Предмет: Математика
  • Автор: dstoliar20
  • Вопрос задан 2 года назад

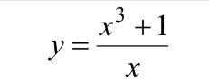
Знайти похідну
розписати!!!

Приложения:

Ответы

Ответ дал: romanbouko95
0

Відповідь:

y' = 3 - x - \frac{1}{x^2}

Покрокове пояснення:

Похідна від частки двох функцій

y = \frac{f(x)}{g(x)} \\y' = \frac{f'(x) * g(x) - g'(x)*f(x)}{g^2(x)}

Тому знайдемо похідні знаменника і чисельника.

(x^3 + 1)' = (x^3)' + (1)' = 3x^2 + 0 = 3x^2

(x)' = 1

Тому

y' = ( 3x^2 * x - 1 * (x^3 + 1) ) / x^2 = (3x^2 - x^3 - 1) / x^2 = 3 - x - 1/x^2


romanbouko95: Можу пояснити якийсь момент, якщо не зрозуміло
Вас заинтересует