• Предмет: Алгебра
  • Автор: kostucenkoliza1
  • Вопрос задан 1 год назад

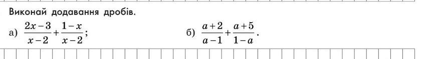
Виконай додавання дробів.​

Приложения:

Ответы

Ответ дал: glebpars
2

Ответ: все на скриншоте

Объяснение:

Приложения:
Вас заинтересует