• Предмет: Алгебра
  • Автор: maksiknigvin
  • Вопрос задан 1 год назад

помогите пожалуйста​

Приложения:

Аноним: скину розв‘язок в інст @mathematic_89
maksiknigvin: дякую!!!!

Ответы

Ответ дал: natalispring1
0

Відповідь:

Пояснення:

Приложения:
Ответ дал: tanasarpacka
0

Відповідь:

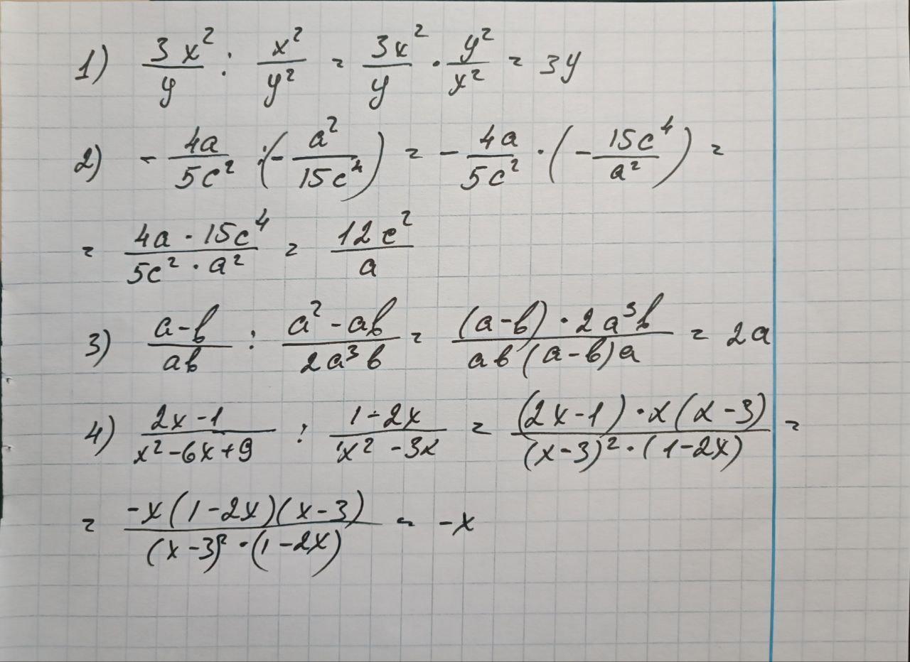
1. 3y

2. 12c2 в квадраті/a

3. 2a

4. -x/z-3

Пояснення:

/ це дріб

c в квадраті я думаю і так зрозуміло

Вас заинтересует