• Предмет: Алгебра
  • Автор: kirillryabchenko2007
  • Вопрос задан 1 год назад

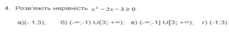
помогите даю 15 баллов !​

Приложения:

Ответы

Ответ дал: HuaCheng1
0

Ответ:

в)

Объяснение:

если не ошибаюсь, но лучше проверить

Ответ дал: 7x8
0

Ответ:

B) \displaystyle  \left(  -\infty;-1 \right]\cup \left[ 3 ;+\infty\right)

Объяснение:

на фото

Приложения:
Вас заинтересует