Ответы
Ответ дал:
1
Відповідь:
Пояснення:
Приложения:
Ответ дал:
1
1) 5 в десятой степени • пять в девятой : пять в восемнадцатой = 5
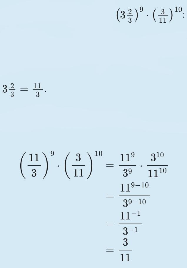
2) ( 3 * 2/3 в девятой степени ) • 3/11 в десятой степени
2 в девятой / 3 в восьмой степени • 3/10 в десятой степени
2 в девятой степени • 3 в квадрате и 11 в десятой степени
2 в девятой степени • 9/11 в десятой степени
9 • 2 в девятой степени : 11 в десятой
9 • 512 : 11 в десятой степени
= 4608/11 в десятой степени
2) ( 3 * 2/3 в девятой степени ) • 3/11 в десятой степени
2 в девятой / 3 в восьмой степени • 3/10 в десятой степени
2 в девятой степени • 3 в квадрате и 11 в десятой степени
2 в девятой степени • 9/11 в десятой степени
9 • 2 в девятой степени : 11 в десятой
9 • 512 : 11 в десятой степени
= 4608/11 в десятой степени
Вас заинтересует
1 год назад
1 год назад
1 год назад
1 год назад
3 года назад
3 года назад
8 лет назад
8 лет назад