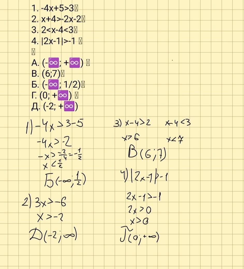
Установіть відповідність між нерівностями (1-4) і множинами їх розв‘язків (А-Д)
1. -4х+5>3
2. х+4>-2х-2
3. 2<х-4<3
4. |2х-1|>-1
А. (-♾️; +♾️)
В. (6;7)
Б. (-♾️; 1/2)
Г. (0; +♾️)
Д. (-2; +♾️)
Ответы
Ответ дал:
1
Ответ:
___________________________________
Приложения:

Вас заинтересует
1 год назад
1 год назад
1 год назад
1 год назад
2 года назад
2 года назад
8 лет назад
8 лет назад