Помогите пожалуйста с алгеброй да 50 бал.
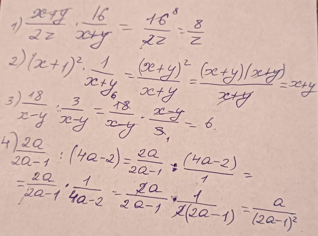
Спростіть вираз:
1)х+у/2z•16/x+y
2)(x+1)²•1/x+1
3)18/x-y:3/x-y
4)2a/2a-1:(4a-2)
Приложения:

Ответы
Ответ дал:
0
Ответ:
Объяснение:
Лучший ответ, Пожалуйста
Приложения:

Ответ дал:
0
Объяснение:
(х + у)/2z * 16/(x + y) = 1/z * 8/1 = 8/z
(x + у)² * 1/(х + 1) = (х + у) * 1/1 = (х + у)/1 = (х + у)
18/(х - у) : 3/(х - у) = 18/(х - у) * (х - у)/3 =
6/1 * 1/1 = 6/1 = 6
2а/(2а - 1) : (4а - 2) = 2а/(2а - 1) * 1/(4а - 2) =
2а/(2а - 1) * 1/2(2а - 1) = а/(2а - 1) * 1/(2а - 1) =
а/(2а - 1)²
Вас заинтересует
1 год назад
1 год назад
1 год назад
1 год назад
2 года назад
2 года назад
8 лет назад
8 лет назад