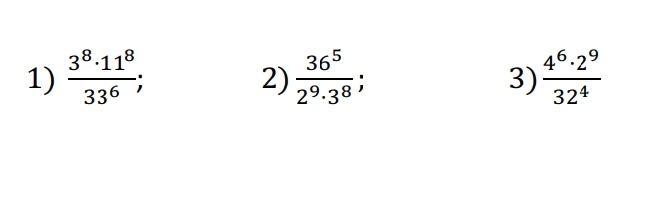
Знайдіть значення виразу:
1) (3 ^ 8 * 11 ^ 8)/(33 ^ 6) 2) (36 ^ 5)/(2 ^ 9 * 3 ^ 8) 3) (4 ^ 6 * 2 ^ 9)/(32 ^ 4)
Приложения:

Ответы
Ответ дал:
1
Ответ:
Пошаговое объяснение:
Приложения:

Ответ дал:
2
100% правильно, можна у найкращі відповіді будь ласка❤️
Приложения:

Вас заинтересует
1 год назад
1 год назад
1 год назад
2 года назад
2 года назад
8 лет назад