• Предмет: Алгебра
  • Автор: anonimchyk555
  • Вопрос задан 2 года назад

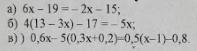
Знайдіть корінь рівняння

Приложения:

Ответы

Ответ дал: shykhnenkokate
0

Ответ:

кчау

Объяснение:

Приложения:
Вас заинтересует