• Предмет: Алгебра
  • Автор: bogyshek
  • Вопрос задан 2 года назад

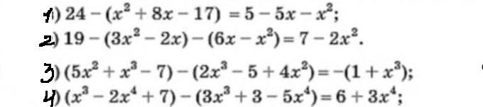
Розв'язати рівняння, застосовуючи правила додавання та віднімання многочленів

Приложения:

Ответы

Ответ дал: Nikeair2000
1

Ответ:

Відповідь на аркуші

Объяснение:

Приложения:
Вас заинтересует