• Предмет: Химия
  • Автор: arinasoroka009
  • Вопрос задан 1 год назад

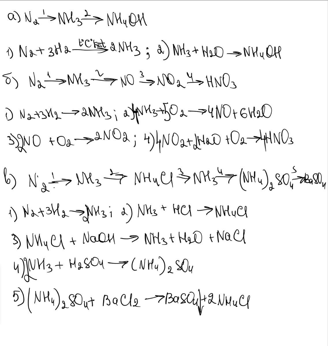
1. Здійсніть перетворення:
а) N2 → NH3 → NH4OH;
б) N2 → NH3 → NO → NO2 → HNO3.
в) N2→ NH3 → NH4Cl → NH3 → (NH4)2SO4 → BaSO4

Ответы

Ответ дал: onmaks2007
0

Ответ:

Объяснение

N2+3H2=2NH3

NH3+H2O=NH4OH

Ответ дал: zolotarevasofia75
0
Відповідь у фото сподіваюсь вірно і я допомогла
Приложения:
Вас заинтересует