• Предмет: Алгебра
  • Автор: Ktoto1319
  • Вопрос задан 1 год назад

срочно даю 25 баллов
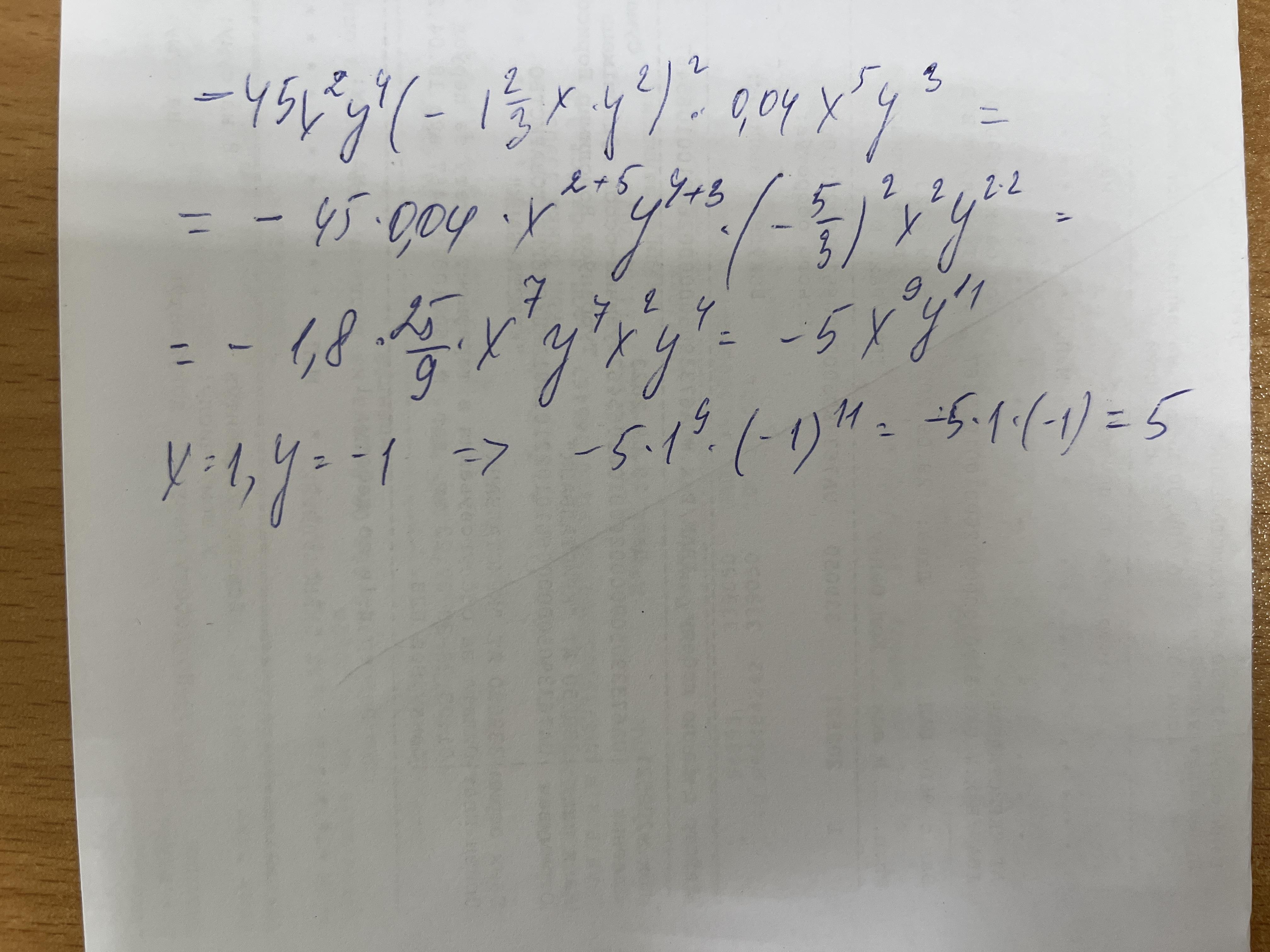
Спростіть вираз - 45x ^ 2 * y ^ 4 * (- 1 2/3 * x * y ^ 2) ^ 2 * 0 ,04 x^ 5 y^ 3 значення, якщо x = 1 , y=-1. та обчисліть його

Ответы

Ответ дал: OlgaKysh
1

Відповідь:

Пояснення:

Приложения:
Вас заинтересует