• Предмет: Математика
  • Автор: Artemyj
  • Вопрос задан 1 год назад

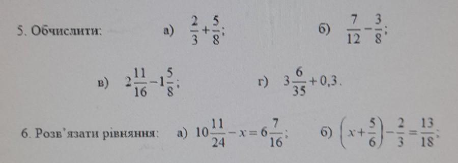
Пример на фото срочно нужно !
даю 50 балов

Приложения:

Ответы

Ответ дал: iramazurk
0

Пошаговое объяснение:

5

2/3 + 5/8 = 16/24 + 15/24 = 31/24 = 1 7/24

7/12 - 3/8 = 14/24 - 9/24 = 5/24

2 11/16 - 1 5/8 = 2 11/16 - 1 10/16 = 1 1/16

3 6/35 + 0,3 = 3 6/35 + 3/10 = 6 12/70 + 21/70 = 6 33/70

6

10 11/24 - х = 6 7/16

х = 10 11/24 - 6 7/16

х = 10 22/48 - 6 21/48

х = 4 1/48

(х + 5/6) - 2/3 = 13/18

х + 5/6 = 13/18 + 2/3

х + 15/18 = 13/18 + 12/18

х + 15/18 = 30/18

х = 30/18 - 15/18

х = 15/18

х = 5/6

Ответ дал: dyexfnf
0

Ответ:

Пошаговое объяснение:

Чтобы сложить (отнять) две дроби с разными знаменателями, надо привести их к общему положительному знаменателю и сложить (отнять) полученные дроби.

5.

а) 2/3 + 5/8 = 16/24 + 15/24 = 31/24 = 1 7/24

б) 7/12 - 3/8 = 14/24 - 9/24 = 5/24

в) 2 11/16 - 1 5/8 = 2 11/16 - 1 10/16 = 1 1/16

г) 3 6/35 + 0,3 = 3 6/35 + 3/10 = 6 12/70 + 21/70 = 6 33/70

6.

а)

10 11/24 - х = 6 7/16

х = 10 11/24 - 6 7/16

х = 10 22/48 - 6 21/48

х = 4 1/48

б)

(х + 5/6) - 2/3 = 13/18

х + 5/6 = 13/18 + 2/3

х + 15/18 = 13/18 + 12/18

х + 15/18 = 30/18

х = 30/18 - 15/18

х = 15/18 = 5/6

Вас заинтересует