• Предмет: Алгебра
  • Автор: norisnwlv
  • Вопрос задан 2 года назад

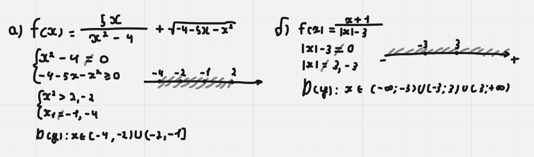
Знайдіть область визначення функції :

Приложения:

Аноним: скину розв‘язок в інст @mathematic_89

Ответы

Ответ дал: cotipen404
1

Ответ:

Решение на фото.

Приложения:
Вас заинтересует