• Предмет: Математика
  • Автор: Bembiiiii
  • Вопрос задан 2 года назад

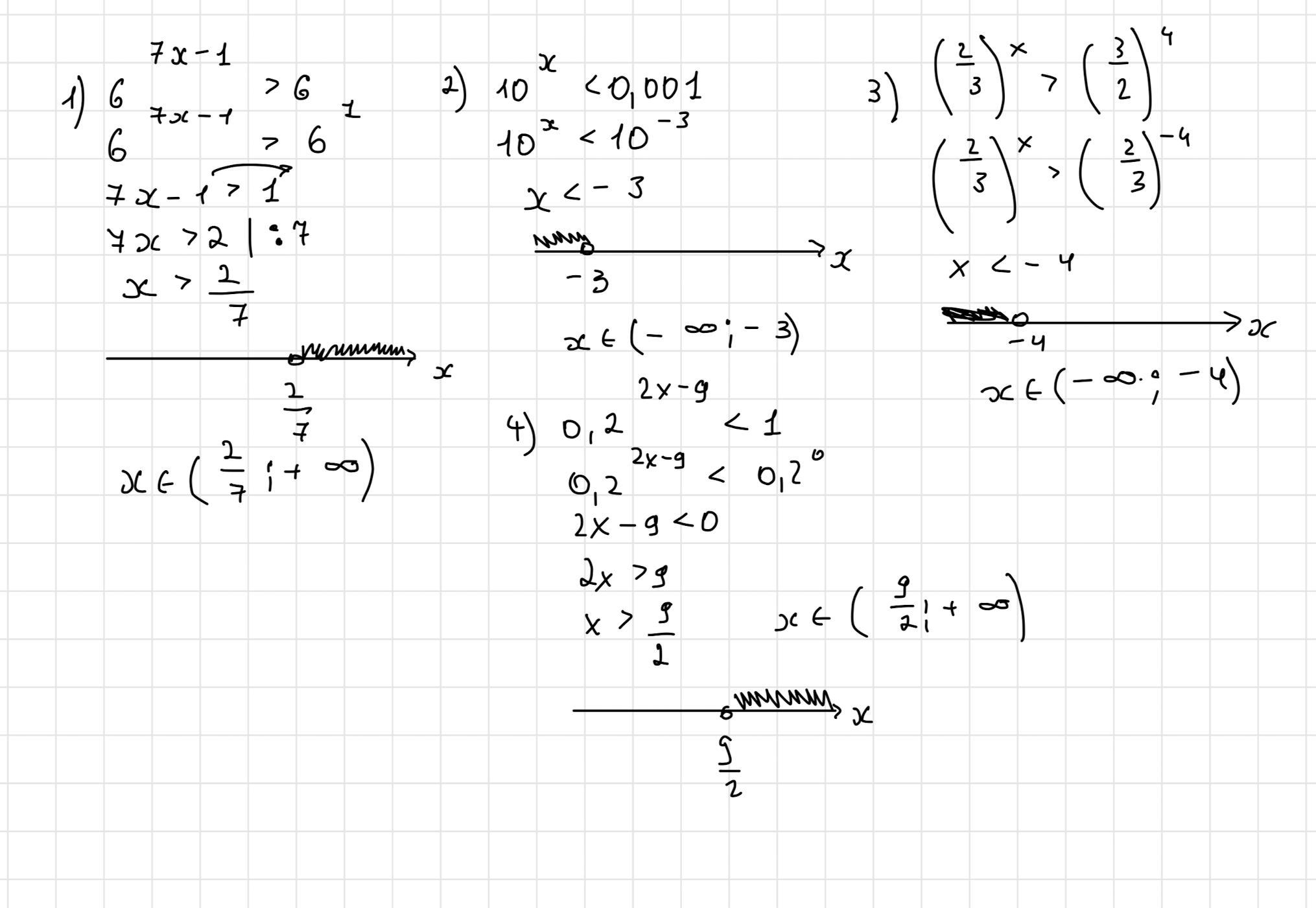
помогите плиз очень нужно

Приложения:

Ответы

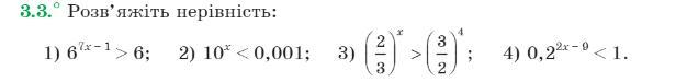
Ответ дал: Аноним
1

Ответ:

Дай лучший ответ пж

Пошаговое объяснение:

Приложения:
Вас заинтересует