• Предмет: Алгебра
  • Автор: ВалентинкаАЛ
  • Вопрос задан 10 лет назад

Помогите решить, пожалуйста.
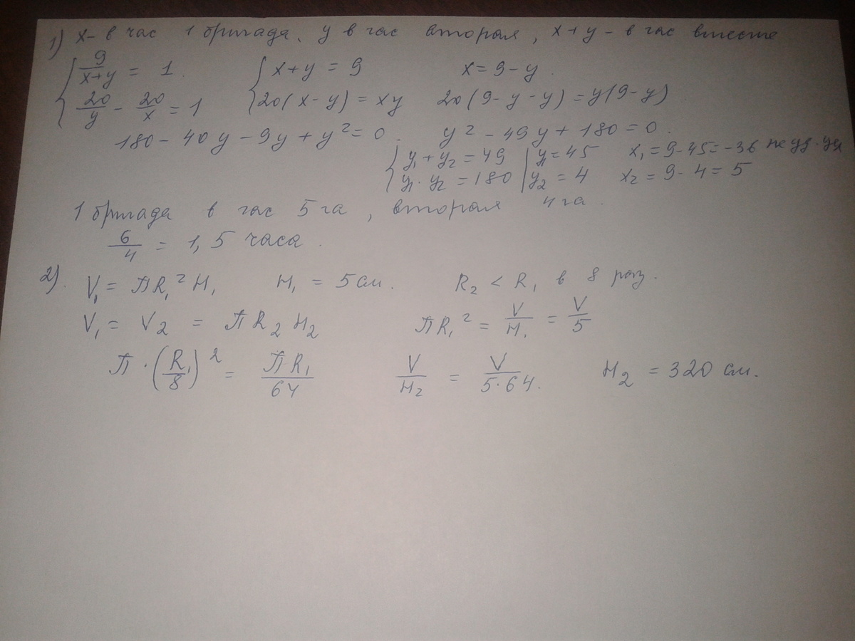
№1. 
2 бригады за час работы могут засеять поле площадью 9 гектаров. Работая отдельно 1 бригада может засеять поле площадью 20 гектаров на 1 час быстрее, чем это сделает 2 бригада. За сколько часов, работая отдельно 2 бригада засеет поле площадью 6 гектаров?

№2.
В цилиндрическом сосуде уровень жидкости достигает 5 см. На какой высоте будет находиться уровень жидкости, если её перелить в другой цилиндрический сосуд, диаметр которого в 8 раз меньше диаметра первого?

Ответы

Ответ дал: Аноним
0
....................................................................
Приложения:
Ответ дал: Аноним
0
Спасибо!
Вас заинтересует