Ответы
Ответ дал:
1
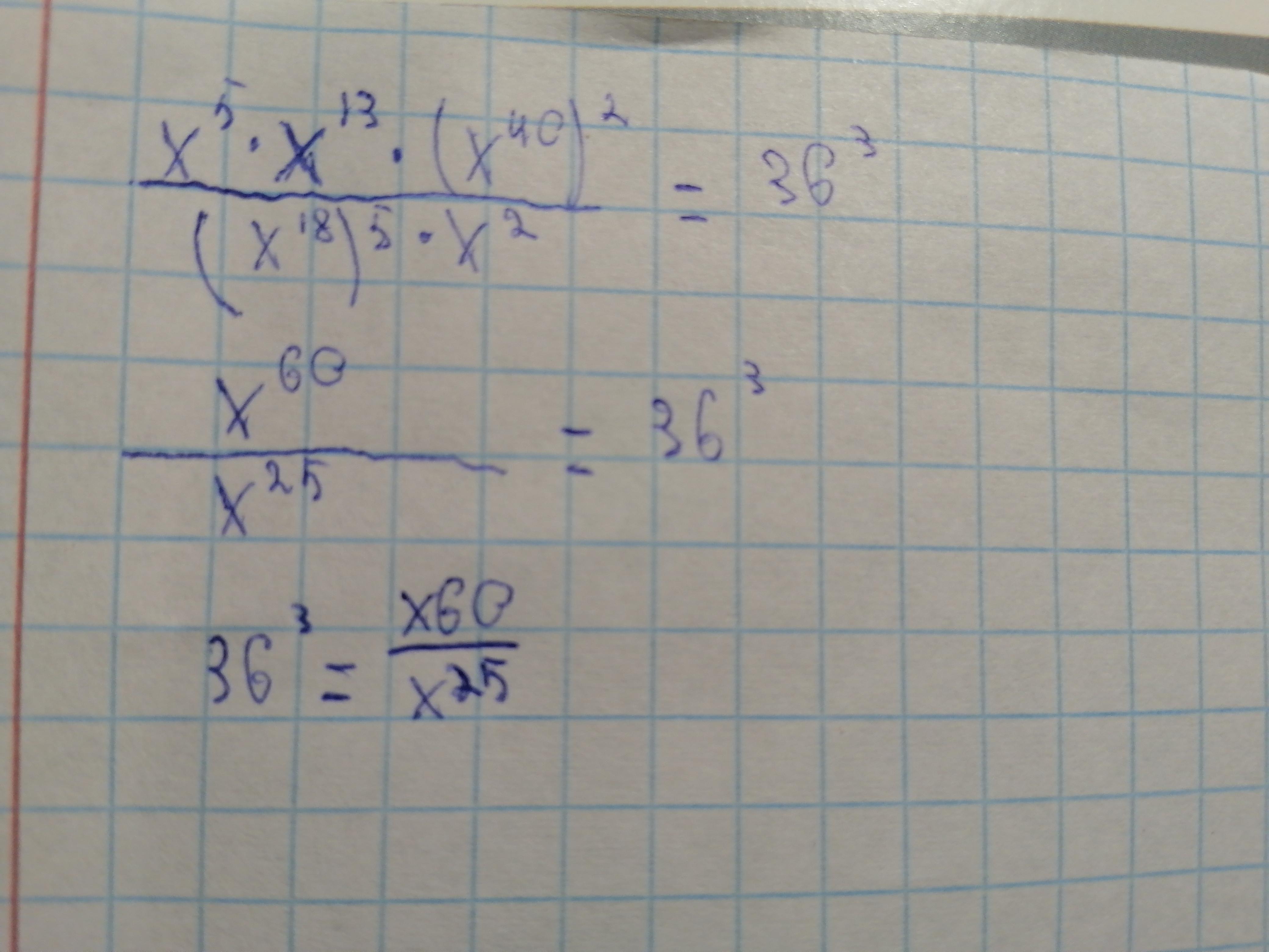
В останьому рядкк там не х60 і х25, а х^60 і х^25(^ це показник)
ПоВостаньомурядкутамнехіхахіхцепоказникцеПоВостаньомурядкутамнехіхахіхцепоказникцеПоВостаньомурядкутамнехіхахіхцепоказникцеПоВостаньомурядкутамнехіхахіхцепоказникц
Приложения:

Maksimka2083:
бл, знания залагали і там трошки незрозумілий текст. В останьому рядкк там не х60 і х25, а х^60 і х^25(^ це показник)
Вас заинтересует
1 год назад
1 год назад
1 год назад
2 года назад
2 года назад
8 лет назад