Ответы
Ответ дал:
1
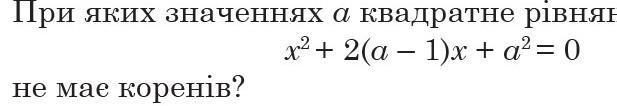
Квадратное уравнение не имеет корней (корни являются комплексными числами) в следующих случаях:
1. Когда дискриминант (D) меньше нуля (D < 0).
2. Когда дискриминант равен нулю (D = 0), но в этом случае у уравнения есть один корень с кратностью 2.
Для уравнения x^2 + 2(a - 1)x + a^2 = 0 дискриминант равен D = (2(a - 1))^2 - 4 * 1 * a^2 = 4a^2 - 4a + 1 - 4a^2 = 1 - 4a.
Таким образом, уравнение не имеет корней, когда 1 - 4a < 0, что эквивалентно a > 1/4.
1. Когда дискриминант (D) меньше нуля (D < 0).
2. Когда дискриминант равен нулю (D = 0), но в этом случае у уравнения есть один корень с кратностью 2.
Для уравнения x^2 + 2(a - 1)x + a^2 = 0 дискриминант равен D = (2(a - 1))^2 - 4 * 1 * a^2 = 4a^2 - 4a + 1 - 4a^2 = 1 - 4a.
Таким образом, уравнение не имеет корней, когда 1 - 4a < 0, что эквивалентно a > 1/4.
Вас заинтересует
1 год назад
1 год назад
1 год назад
1 год назад
3 года назад
3 года назад