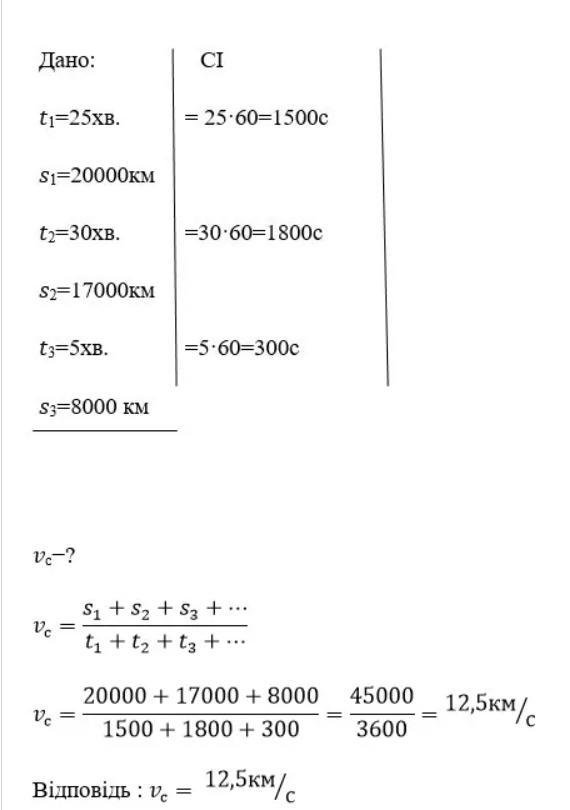
комета за 25 хвилин пройшла 20000 км потім змінюючи траєкторію за пів години 17000 км а відтак пронеслась ще 8000 км за 5 хвилин якою була середня швидкість.ДОПОМОЖІТЬ БУДЬ ЛАСКА ТЕРМІНОВО!!!!!! 40 БАЛІВ
Ответы
Ответ дал:
5
Ответ: на фото ответ
Объяснение:
Приложения:

zabivnojkrasava:
Спасибо!
Вас заинтересует
1 год назад
1 год назад
1 год назад
1 год назад
2 года назад
2 года назад
8 лет назад
8 лет назад