• Предмет: Алгебра
  • Автор: oppoveon16
  • Вопрос задан 1 год назад

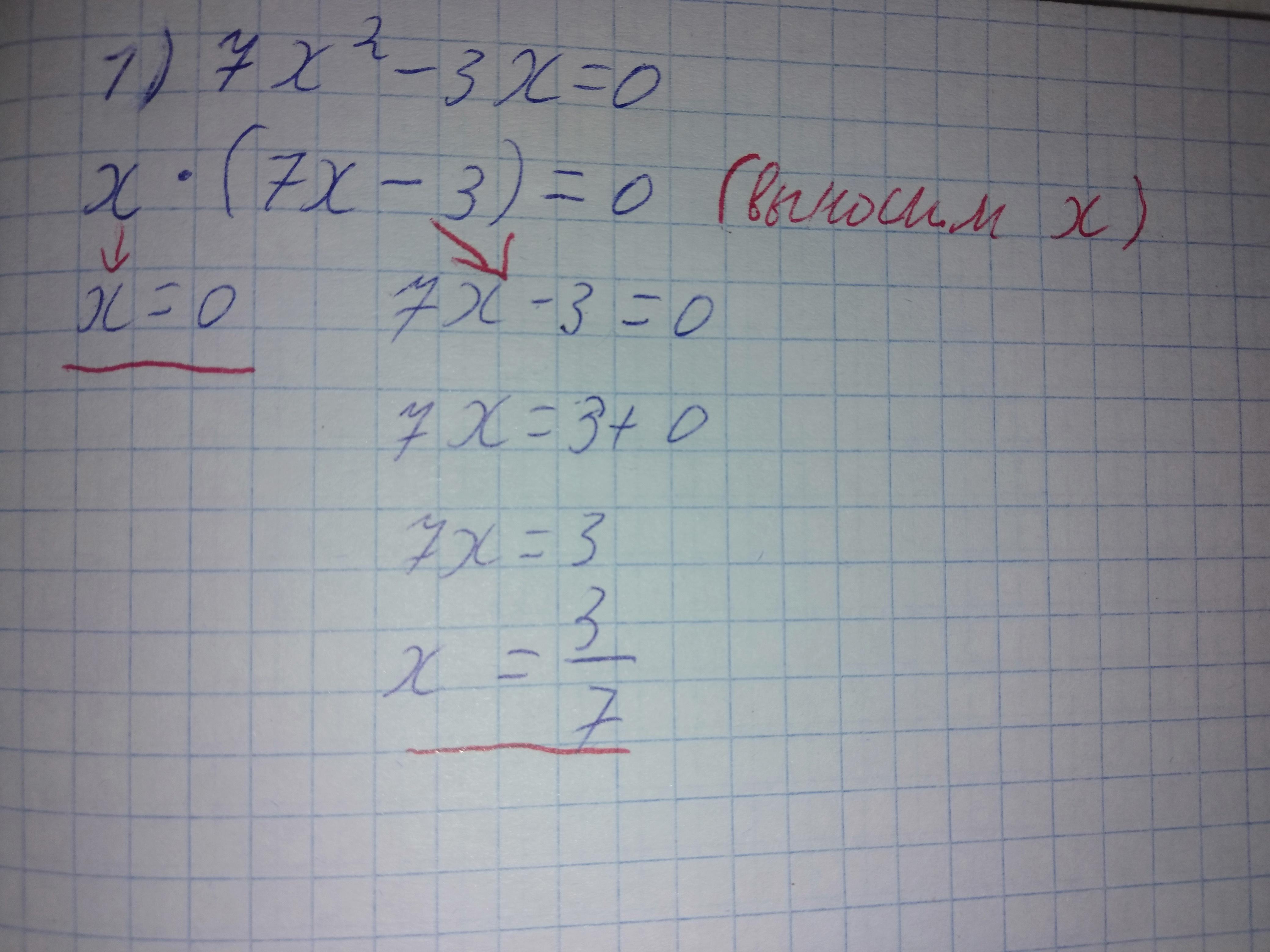
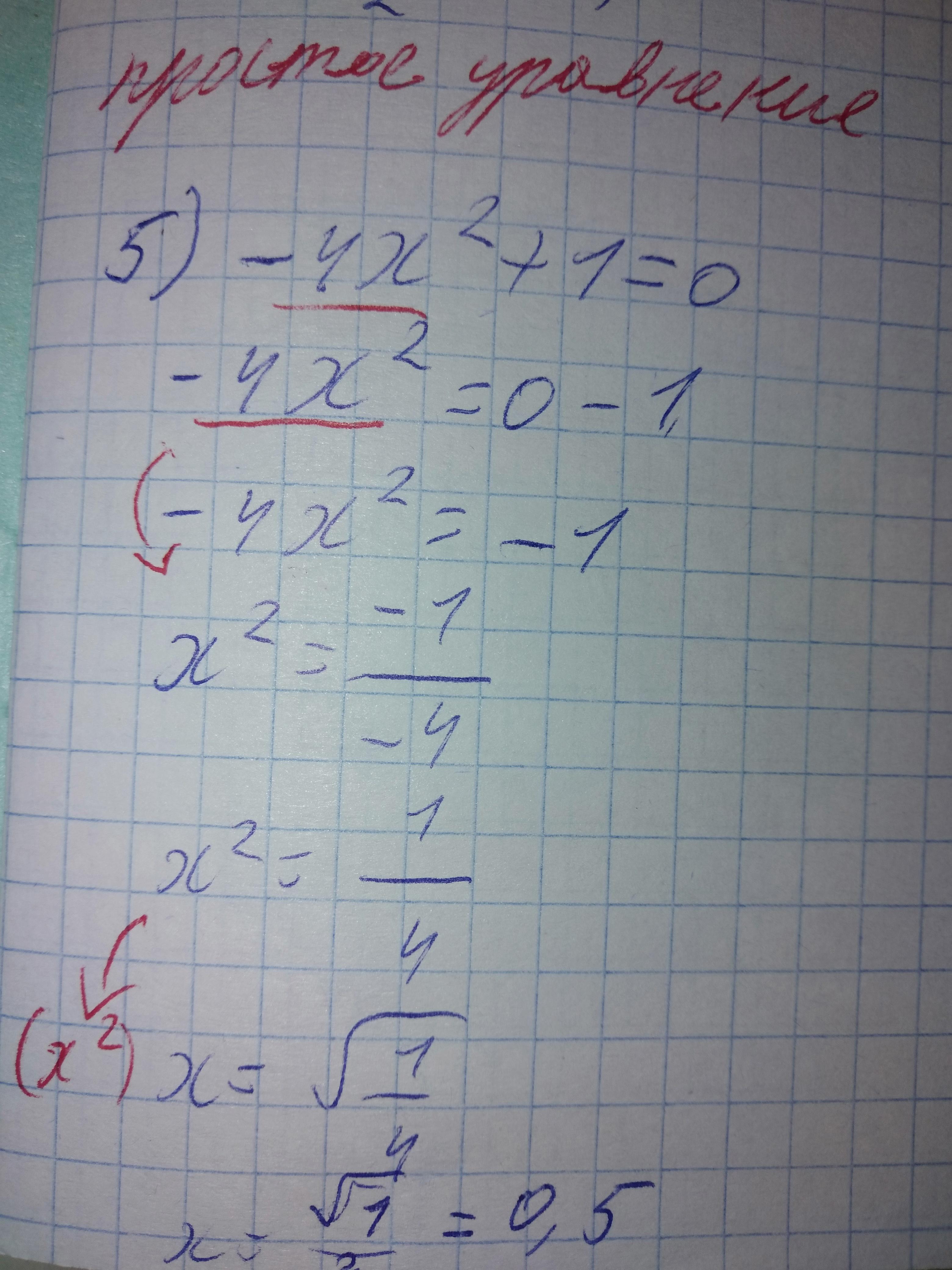
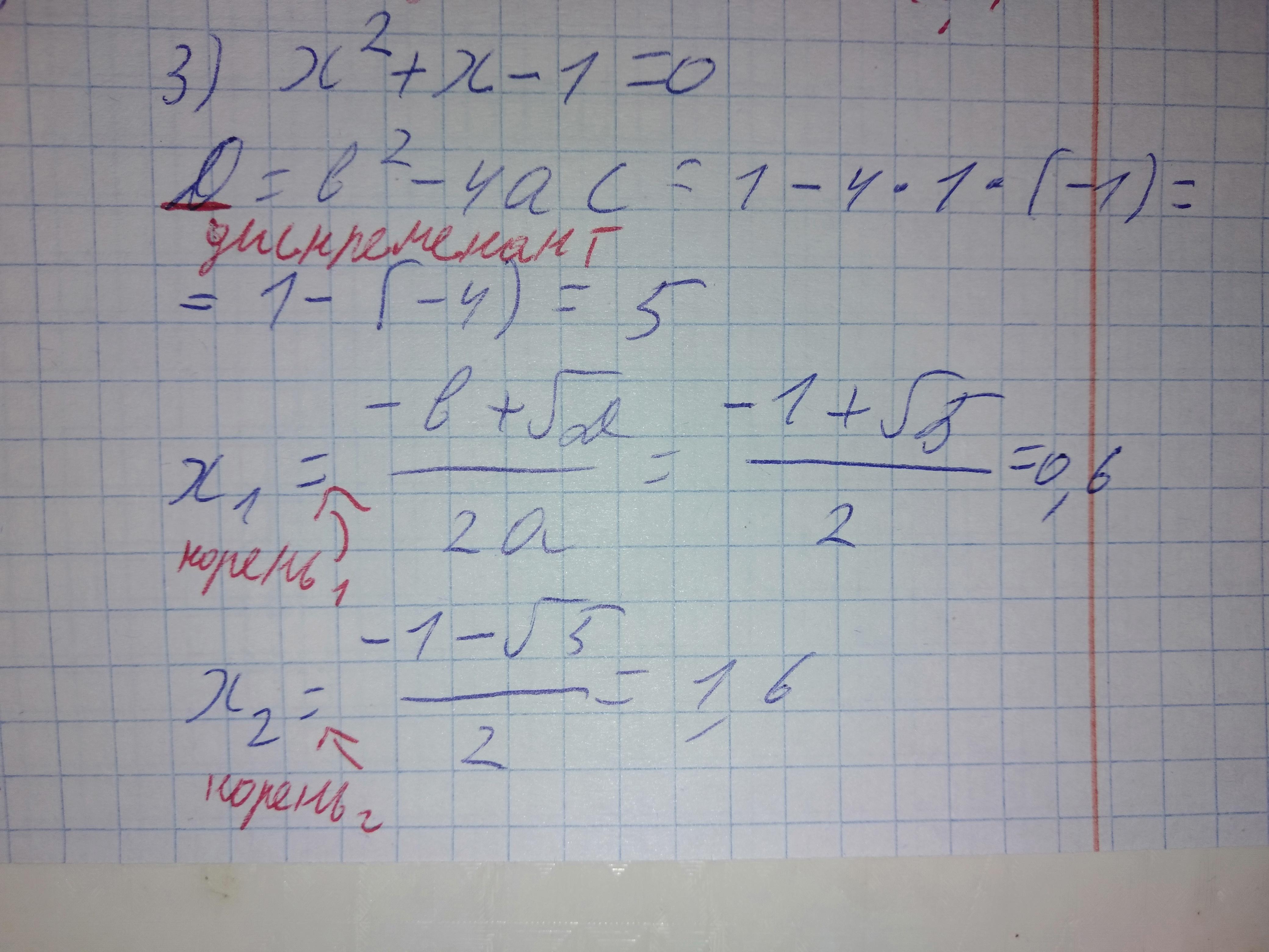
1) 7x²-3x=0; 4) -x²-x+3=0; 2) 2x+5=0; 5) -4x²+1=0; 3) x²+x-1=0; 6) 8x²-0.​

Ответы

Ответ дал: Paraparaparaparapam
0

Ответ:

шестой записан не верно у вас.

Объяснение:

все объяснение на фото красной ручкой. (Не записывайте это.)

Приложения:
Вас заинтересует