• Предмет: Математика
  • Автор: dimakhrenov2021
  • Вопрос задан 2 года назад

ПОМОГИТЕ РЕШИТЬ ДАЮ МНОГО БАЛОВ​

Приложения:

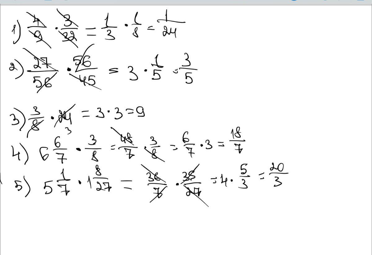
Ответы

Ответ дал: naaatvnata
0

Ответ:

на фото

Пошаговое объяснение:

такі дроби множаться так як на фото, знаменник на знаменник, а числівник на числівник. Якщо є цілі. о ми переводимо, (ну нам так вчителька казала). Множимо цілі на числівник (те що з низу дроба) і додаємо знаменник (те що з верху дроба). Якщо знаменник більше числівника для правильності можемо перевести в цілі. Знаменник ділимо на числівник. 60:9=6,6.... і там ще багато інших цифер. Але нам потрібні тільки перша і та що після коми 1, але це тільки в випадку якщо числівник має тільки 1 цифру, а не 2, чи більше чисел

Приложения:
Ответ дал: zolotarevasofia75
0
Сподіваюсь що вірно
Приложения:
Вас заинтересует