• Предмет: Алгебра
  • Автор: Аноним
  • Вопрос задан 2 года назад

ПОМОГИТЕ СРОЧНО ДАЮ 100 БАЛОВ ДО 22:00

Приложения:

Ответы

Ответ дал: Пеппер
0

Объяснение:

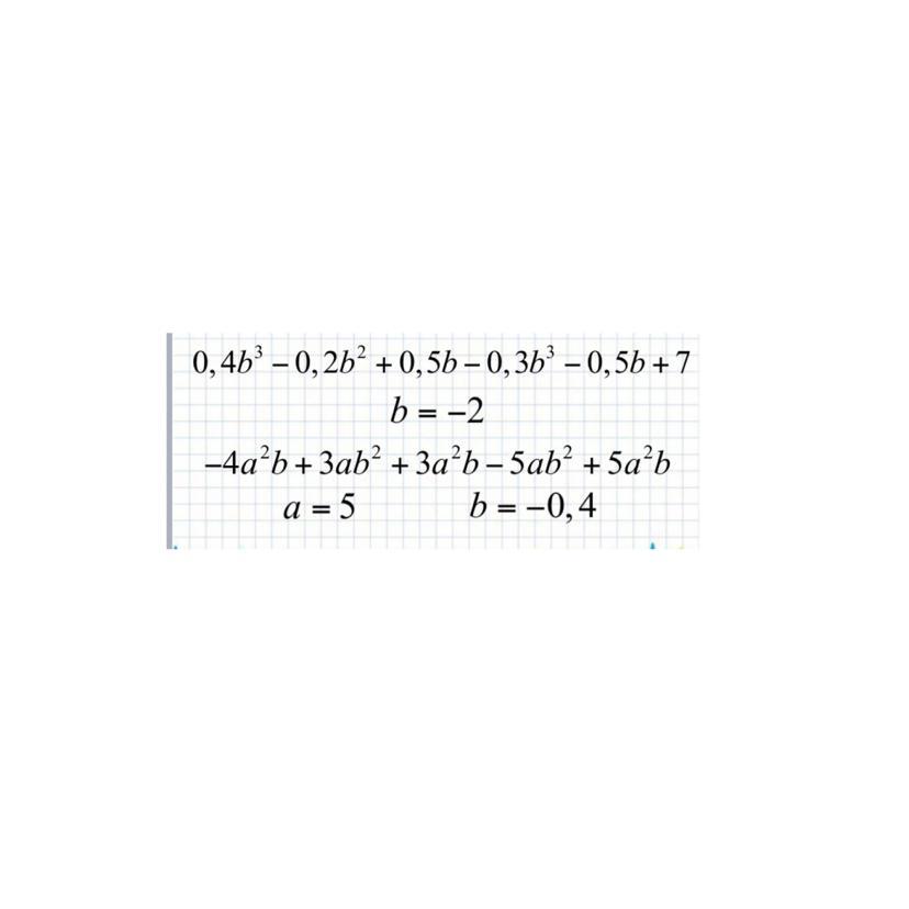
0,4b³-0,2b²+0,5b-0,3b³-0,5b+7=0,1b³-0,2b²+7=0,1*(-2)³-0,2*(-2)²+7=

=0,1*(-8)-0,2*4+7=-0,8-0,8+7=5,4

-4a²b+3ab²+3a²b-5ab²+5a²b=4a²b-2ab²=4*5²*(-0,4)-2*5*(-0,4)²=

=-40+16=-24

Вас заинтересует