• Предмет: Алгебра
  • Автор: tyry1223
  • Вопрос задан 2 года назад

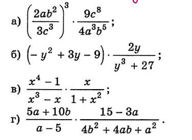
Допоможіть будьласка! Виконайте дії

Приложения:

Ответы

Ответ дал: sendk2914
2

Відповідь:

a)2b/3c

б)-2у/у+3

Пояснення:

дальше не знаю

Вас заинтересует