• Предмет: Физика
  • Автор: cupidxl0ve1122
  • Вопрос задан 2 года назад

ДАМ 50 БАЛІВ

У ліфті, що рівномірно піднімається зі швидкістю 1 м/с, падає тіло з висоти 50 см. Через скільки часу після початку падіння тіло торкнеться підлоги? На скільки зміниться за цей час висота тіла відносно Землі?

Тіло, вільно падаючи без початкової швидкості, досягає землі за
4 с. За який час воно досягне землі, коли його кинути з тієї самої висоти з початковою швидкістю 29,4 м/с?

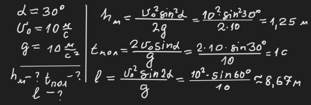
Мʼяч кинуто під кутом 30° до горизонту з початковою швидкістю
10 м/с. Визначте висоту піднімання, а також час і дальність польоту мʼяча.


CatGames228: поможіть мені будьласка!!

Ответы

Ответ дал: sasha779936
0

Ответ:

гортай там 3 фото ... ..........

Приложения:

cupidxl0ve1122: але це ж не розвʼязок на ці задачі
CatGames228: Поможіть мені :((((((
CatGames228: Будьласка
CatGames228: https://znanija.com/task/53951657
Вас заинтересует