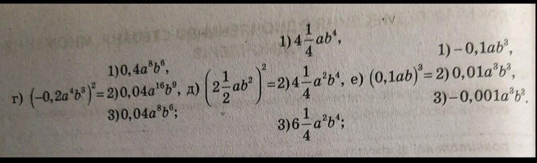
1)0,4a³b", 1)-0,1ab², r) (-0,2a 'b')= 210,04a "b", 1) (2 - ab* )=2)4-a'b', e) (0,1ab)=2)0,01a³b", A) 3)0,04a8b; 3)-0,001a³b² 3)6-a²b¹;
ДАЮ 100 БАЛОВ!!!!! СРОЧНОООО
Приложения:

Ответы
Ответ дал:
1
Ответ:
г)3
д)3
е)3
отметь как лучший ответ
tanyatyshenko099:
спасибо
Вас заинтересует
1 год назад
1 год назад
1 год назад
1 год назад
2 года назад
2 года назад
8 лет назад
8 лет назад