• Предмет: Математика
  • Автор: alexminjakov77
  • Вопрос задан 2 года назад

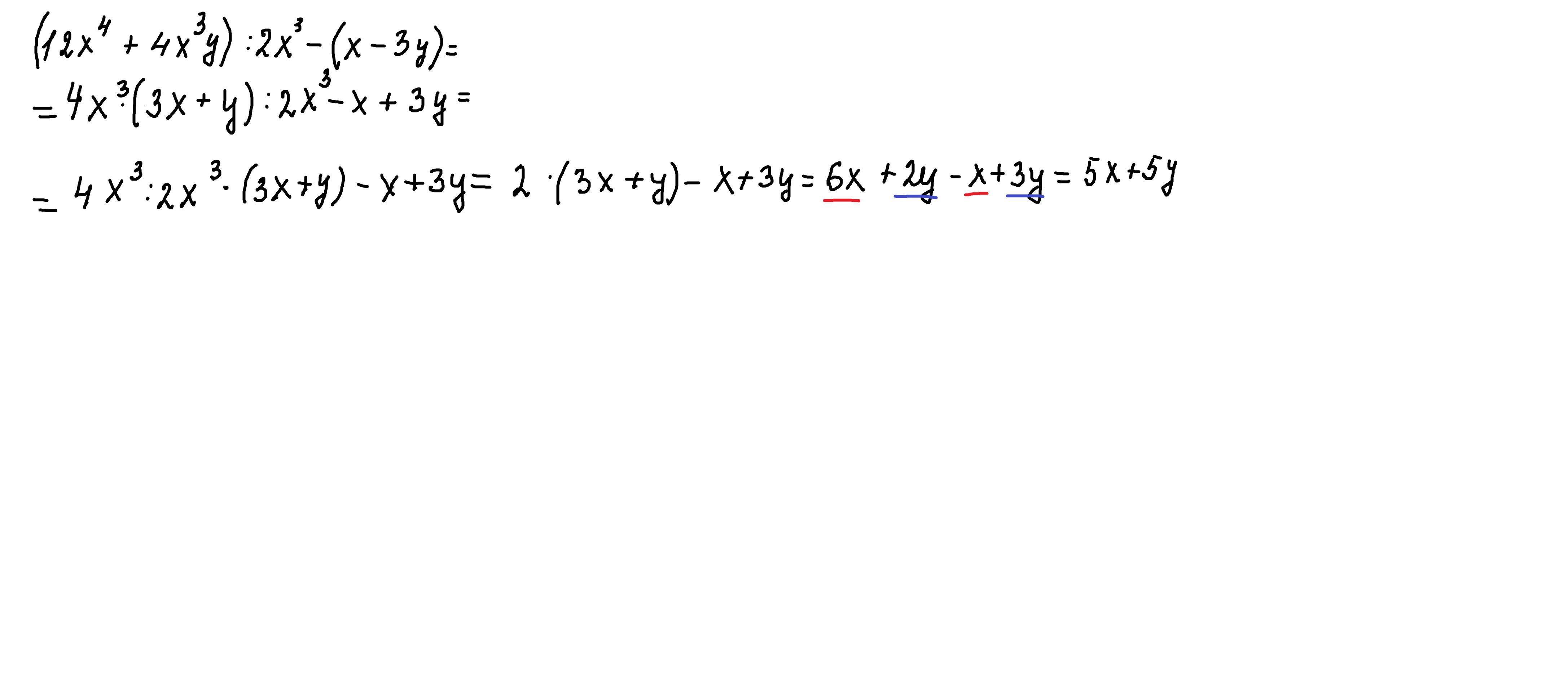
(12x4 + 4x3y) : 2x3 – (x – 3y) =

Ответы

Ответ дал: parus77
1

Ответ:

5х + 5у

Пошаговое объяснение:

Приложения:
Вас заинтересует