Ответы
Ответ дал:
1
можно лучший ответ ᅠᅠᅠᅠᅠᅠᅠᅠᅠ
Приложения:

Аноним:
пиар-///
Ответ дал:
0
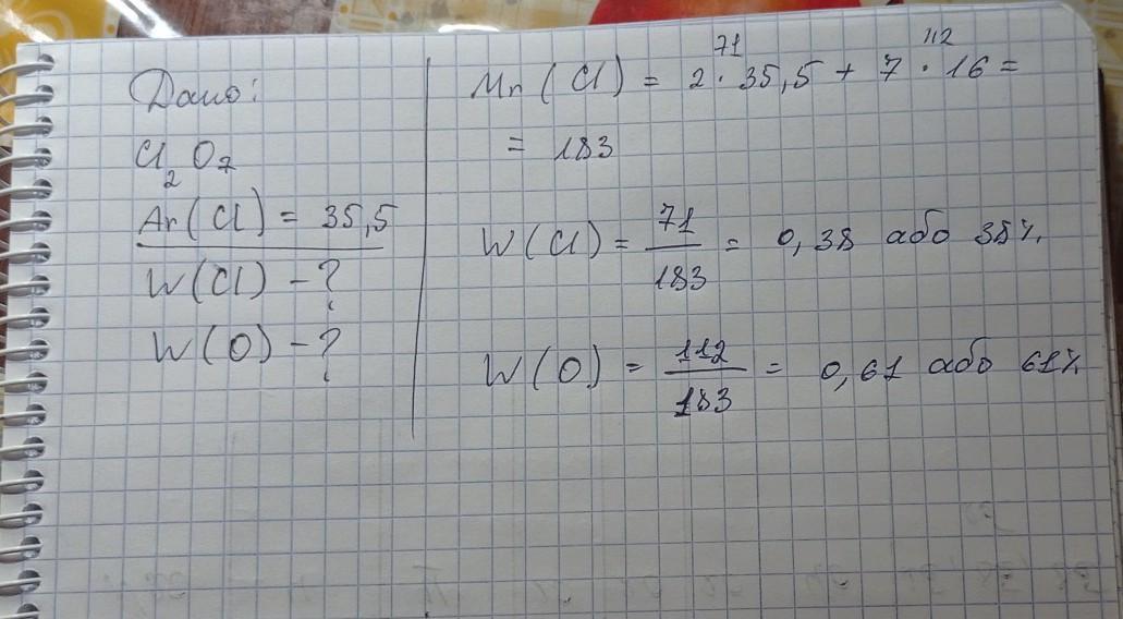
Дано:
Cl2O7
Ar(Cl) = 35,5
Знайти:
ω(Cl) - ?
ω(O) - ?
Розв'язання:
1) Mr(Cl2O7) = Ar(Cl) * N(Cl) + Ar(O) * N(O) = 35,5 * 2 + 16 * 7 = 183;
2) ω(Cl) = N(Cl) * Ar(Cl) * 100% / Mr(Cl2O7) = 2 * 35,5 * 100% / 183,0 = 38,8%;
3) ω(O) = 100% - ω(Cl) = 100% - 38,8% = 61,2%.
Відповідь: Масова частка Cl становить 38,8%; O - 61,2%.
Вас заинтересует
1 год назад
1 год назад
1 год назад
2 года назад
2 года назад
8 лет назад
8 лет назад