• Предмет: Алгебра
  • Автор: gorshkovan599
  • Вопрос задан 2 года назад

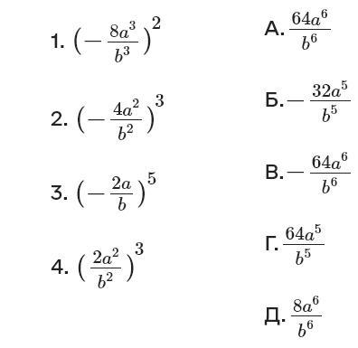
Встановіть відповідність між завданнями 1-4 та відповідями А-Д

Приложения:

Ответы

Ответ дал: diwefulli
1

Ответ:

1-а.

2-в.

3-б.

4-д. .....


gorshkovan599: спасибо
Вас заинтересует