• Предмет: Алгебра
  • Автор: krisssks
  • Вопрос задан 1 год назад

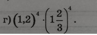
ДАЮ 40 БАЛІВ ЗА ОДИН ВИРАЗ

Обчисліть значення виразу будь ласка і розпишіть : ​

Приложения:

Ответы

Ответ дал: sabrinakr510
1

Объяснение:

думаю правильно, простите если что-то не так

Приложения:

krisssks: дякууую
Вас заинтересует